SEGOVIA ZAIRA MATEMÁTICA
Diagrama de temas
-
-
Clase 1
-
Realizar aquí las consultas.
-
Abrió: sábado, 9 de noviembre de 2024, 09:47Cerró: miércoles, 20 de noviembre de 2024, 12:27
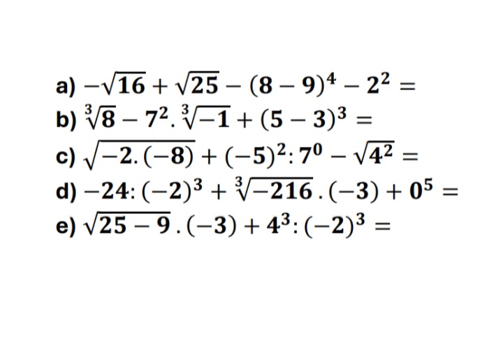
- En tu carpeta y de manera prolija; calculá las siguientes potencias y elegí la opcion correcta en cada uno de los items.
- Podrás realizar el cuestionario en dos intentos, por lo cual tendrás tiempo para realizar consultas en el chat de ser necesario .
- Cuando estés seguro de tu respuesta, para que esta sea enviada; deberas presionar TERMINAR INTENTO. desde este punto podes VOLVER AL INTENTO pero cuando hayas finalizado; es imprescindible que elijas la opcion ENVIAR TODO Y TERMINAR.
-
Apertura: domingo, 10 de noviembre de 2024, 00:00
En la sección anterior, realizaste los cálculos en tu carpeta.
Esta tarea consiste en subir un archivo con los cálculos realizados
-
-
-
Abrió: sábado, 9 de noviembre de 2024, 09:47Cerró: miércoles, 20 de noviembre de 2024, 12:27
- En tu carpeta y de manera prolija; calculá las siguientes potencias y elegí la opcion correcta en cada uno de los items.
- Podrás realizar el cuestionario en dos intentos, por lo cual tendrás tiempo para realizar consultas en el chat de ser necesario .
- Cuando estés seguro de tu respuesta, para que esta sea enviada; deberas presionar TERMINAR INTENTO. desde este punto podes VOLVER AL INTENTO pero cuando hayas finalizado; es imprescindible que elijas la opcion ENVIAR TODO Y TERMINAR.
-
Apertura: domingo, 10 de noviembre de 2024, 00:00
En la sección anterior, realizaste los cálculos en tu carpeta.
Esta tarea consiste en subir un archivo con los cálculos realizados
-
Consultas Aquí
-
-
Consultas Aquí
-
Abrió: sábado, 9 de noviembre de 2024, 09:47Cerró: miércoles, 20 de noviembre de 2024, 12:27
- En tu carpeta y de manera prolija; calculá las siguientes potencias y elegí la opcion correcta en cada uno de los items.
- Podrás realizar el cuestionario en dos intentos, por lo cual tendrás tiempo para realizar consultas en el chat de ser necesario .
- Cuando estés seguro de tu respuesta, para que esta sea enviada; deberas presionar TERMINAR INTENTO. desde este punto podes VOLVER AL INTENTO pero cuando hayas finalizado; es imprescindible que elijas la opcion ENVIAR TODO Y TERMINAR.
-
Apertura: domingo, 10 de noviembre de 2024, 00:00
En la sección anterior, realizaste los cálculos en tu carpeta.
Esta tarea consiste en subir un archivo con los cálculos realizados
-
-
Consultas Aquí
-
Abrió: sábado, 9 de noviembre de 2024, 09:47Cerró: miércoles, 20 de noviembre de 2024, 12:27
- En tu carpeta y de manera prolija; calculá las siguientes potencias y elegí la opcion correcta en cada uno de los items.
- Podrás realizar el cuestionario en dos intentos, por lo cual tendrás tiempo para realizar consultas en el chat de ser necesario .
- Cuando estés seguro de tu respuesta, para que esta sea enviada; deberas presionar TERMINAR INTENTO. desde este punto podes VOLVER AL INTENTO pero cuando hayas finalizado; es imprescindible que elijas la opcion ENVIAR TODO Y TERMINAR.
-
Apertura: domingo, 10 de noviembre de 2024, 00:00
En la sección anterior, realizaste los cálculos en tu carpeta.
Esta tarea consiste en subir un archivo con los cálculos realizados
-
-
Los dos grupos deben trabajar en este foro.
-
Los dos grupos deben trabajar en este foro.
-
Consultas Aquí
-
-
Consultas Aquí
-
Abrió: sábado, 9 de noviembre de 2024, 09:47Cerró: miércoles, 20 de noviembre de 2024, 12:27
- En tu carpeta y de manera prolija; calculá las siguientes potencias y elegí la opcion correcta en cada uno de los items.
- Podrás realizar el cuestionario en dos intentos, por lo cual tendrás tiempo para realizar consultas en el chat de ser necesario .
- Cuando estés seguro de tu respuesta, para que esta sea enviada; deberas presionar TERMINAR INTENTO. desde este punto podes VOLVER AL INTENTO pero cuando hayas finalizado; es imprescindible que elijas la opcion ENVIAR TODO Y TERMINAR.
-
Apertura: domingo, 10 de noviembre de 2024, 00:00
En la sección anterior, realizaste los cálculos en tu carpeta.
Esta tarea consiste en subir un archivo con los cálculos realizados
-
-
El juego de la memoria es un juego en el que se deben descubrir parejas de elementos iguales o relacionados que están escondidos. El objetivo es destapar todas las parejas.
En este juego encontrarán operaciones matemáticas las cuales se pueden emparejar con su resultado, es necesario hacer los cálculos para poder descubrir las parejas.
La actividad estará concluida una vez que hayan descubierto todas las parejas.
¡ A jugar ! -
Consultas Aquí
-
-
-
Apertura: domingo, 10 de noviembre de 2024, 00:00Cierre: miércoles, 20 de noviembre de 2024, 18:52Resolver prolijamente en la carpeta.
-
Consultas Aquí















