Expresiones Algebraicas: Polinomios
| Sitio: | 'ELE' Plataforma Educativa Chaqueña |
| Área temática: | Matemática |
| Libro: | Expresiones Algebraicas: Polinomios |
| Imprimido por: | Invitado |
| Día: | sábado, 28 de febrero de 2026, 09:00 |
Descripción

1. Expresiones Algebraicas. Polinomios: concepto y clasificación.
EXPRESIONES ALGEBRAICAS
Una expresión algebraica es una combinación de números (coeficientes) y letras (variables) relacionadas entre sí mediante operaciones de suma ( + ), resta ( – ), multiplicación ( • ) y división ( : ).
En éste tipo de expresiones a la parte numérica se la denomina coeficiente y a las letras con exponentes parte literal.
Termino Algebraico: a las expresiones algebraicas se las denomina según su cantidad de términos.
Valor Numérico: el valor numérico de una expresión algebraica se obtiene de reemplazar la/las letra/s de la expresión por un número y realizar la operación.
Grado de un Polinomio: es el mayor exponente con el que aparece la variable en los términos con coeficientes distintos de cero.
Coeficiente principal: es el número (coeficiente) que multiplica a la variable (letra), que contiene el mayor exponente. Ejemplo:
2. Operaciones con Polinomios: Suma y Resta

Suma y Resta con Polinomios:
En Síntesis:
Cómo se suman los polinomios de forma vertical
Para sumar polinomios de ésta forma, el procedimiento es casi el mismo de cuando la suma es horizontal, debemos hacerlo de la manera siguiente:
1. Ordenar los polinomios.
2. Completar con ceros (0) el polinomio si hace falta algún término de algún grado.
3. Se agrupan los términos del mismo grado uno debajo del otro.
4. Efectuamos la suma de los términos semejantes, teniendo en cuenta que signos iguales se suman y signos diferentes se restan. Al resultado obtenido se le colocara el signo del número mayor.
Otro Ejemplo:
Dados los siguientes polinomios P(x)= x-3x2+x4+1 y Q(x)= -x2 -2+x3+5x encontrar P(x) + Q(x)
Solución:
En Síntesis:
¿Cómo se restan los polinomios de forma vertical?
Para restar polinomios de forma vertical, debemos hacerlo de la manera siguiente:
1. Ordenamos los polinomios.
2. Completamos con ceros (0) el polinomio si hace falta algún término de algún grado.
3. Calculamos el opuesto del segundo polinomio (se cambia el signo de cada término).
4. Agrupamos los términos del mismo grado uno debajo del otro.
5. Efectuamos la suma de los términos semejantes, teniendo en cuenta que signos iguales se suman y signos diferentes se restan. Al resultado obtenido se le colocara el signo del número mayor.
Otro Ejemplo:
Dados los siguientes polinomios: P(x)= 3x2+x-x4+1+x5 y Q(x)= 5x-2-x2-4x5+x3 encontrar P(x) – Q(x)
Solución:
Recordar que hay que calcular, ordenar y completar el opuesto del segundo polinomio que sería: –Q(x)= 4x5-0x4-x3+x2-5x+2
Agrupamos los términos del mismo grado uno debajo del otro y sumamos de polinomios verticalmente

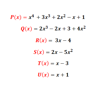
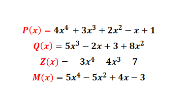
Actividades:
1) Resolver las sumas y restas de polinomio, antes; ordena en forma decreciente (de mayor exponente a menor) y completa con “0x” los términos que faltan.
Dado los siguientes polinomios:
a) Sumar P(x) + Q(x)
b) Restar Z(x) – M(x)
c) Sumar M(x) + P(x)
d) Restar Q(x) – Z(x)
e) Realizar Z(x) + Q(x) – M(x)
3. Operaciones con Polinomios: Multiplicación. Regla de Ruffini.

Multiplicación de Polinomios:
Para la MULTIPLICACIÓN, se multiplican por un lado los coeficientes entre sí, también la parte literal con sus respectivos exponentes aplicando la regla de signos correspondiente y las propiedades dela potenciación.
✓ Una de las maneras de multiplicar los polinomios es aplicando la propiedad distributiva:
VEAMOS OTROS EJEMPLOS:
1.- Dados los siguientes polinomios S(x)= -3x+x3-5x2 y M(x)= 2x2-15 encontrar: S(x) . M(x)
Solución:
Ordenamos los polinomios. Colocamos los polinomios uno debajo del otro, realizamos las multiplicaciones de los coeficientes, sumamos los exponentes (grado de la variable), y finalmente hacemos la suma de polinomios verticalmente:
2.- Dados los siguientes polinomios P(x)= 3x -12 -2x2 – 5x3 y Q(x)= 5x +4x3 +3 -2x2
encontrar: P(x) . Q(x)
Solución:
Ordenamos los polinomios. Colocamos los polinomios uno debajo del otro, realizamos las multiplicaciones de los coeficientes, sumamos los exponentes (grado de la variable), y finalmente hacemos la suma de polinomios verticalmente
Regla de Ruffini:
REGLA DE RUFFINI: es un método práctico de que se utiliza para dividir un Polinomio P(x) por otro cuya forma es: (x + a).
Ejemplo: dado el P(x) = 2x3 + 3x -1 y Q(x)= (x + 2), entonces si se divido P(x) : Q(x); para poder dividir siempre hay que observar que el polinomio dividendo este completo y ordenado.
VEAMOS OTRO EJEMPLO DE LA REGLA DE RUFFINI, PASO A PASO:

1) Resolver las multiplicaciones con polinomios y división aplicando la Regla de Ruffini; antes, ordena en forma decreciente (de mayor exponente a menor) y completa con “0x” los términos que faltan si es necesario.
Dado los siguientes polinomios:

a) Multiplicar P(x) . R(x)
b) Multiplicar Q(x) . S(x)
c) Dividir Q(x) : U(x) (Aplicar Regla de Ruffini)
d) Dividir S(x) : T(x) (Aplicar Regla de Ruffini)
e) Multiplicar S(x) . U(x)